Introduction: (Background and need)
Since 2018, there have been recurring Cladophora algal blooms on the Upper Gallatin River near the resort community of Big Sky, Montana.
Several factors are known to influence the growth of Cladophora. The main factors that control the seasonal growth of this alga are the river’s flow regime, sunlight, water temperature, water pH, and the abundance of plant-available nutrients (Whitton, 1970). Nutrients are important because, like adding fertilizer to your garden, nitrogen and phosphorous also fuel the growth of algae and plants in aquatic ecosystems. The process of nutrient enrichment in water bodies is known as eutrophication and it can have consequences for the health of rivers like the Gallatin.
Acknowledging the connection between surface water and groundwater (Waren et al., 2021) in this area (and many Montana streams), the LWQD was interested in determining the nutrient concentrations in the Meadow Village Aquifer (MVA), as it is a contributing source for water in the Middle Fork Gallatin River. Groundwater monitoring for major nutrients, including plant-available forms of nitrogen and phosphorus began in 2018.
This summary provides an overview of some of our efforts to characterize wastewater and nutrient conditions in groundwater under the Big Sky Meadow Village.
What are our objectives in this ten-year study?
- Establish a groundwater quality dataset through annual monitoring
- Collaborate with stakeholders such as local water resource organizations and researchers to identify threats to water quality
- Inform decision makers and citizens of Gallatin County who use the river about impacts of nutrient enrichment (eutrophication) to the Gallatin River ecosystem.
Methods: (How we accomplish our work)
This is a ten-year cooperative project between the Gallatin Local Water Quality District (GLWQD), the Montana Bureau of Mines and Geology (MBMG), and the Big Sky County Water and Sewer District (BSCWSD). There are nine monitoring sites, one spring and eight wells, located around the study area near subdivisions and roads, the golf course, and the West Fork of the Gallatin River (Fig.1).

Wells were pumped with submersible pumps or bailed with Teflon bailers using the three well-volume approach. Water quality parameters, also known as purge parameters, were measured with a YSI-handheld meter and a flow-through cell configuration when possible. Samples were collected in lab-grade containers, shipped on ice, and analyzed following standard methods (APHA, 2022) at Energy Laboratories, Inc., in Billings, Montana for nitrate + nitrite as nitrogen (nitrate-N), orthophosphate, and the common wastewater indicator chloride.
Nitrate (NO3-N) is a common form of plant-available dissolved inorganic nitrogen that is taken up by biota, including algae. It is the predominant form of nitrogen on the landscape. Sources of nitrate may include atmospheric deposition, naturally occurring soil organic matter, fertilizer, livestock waste and wastewater.
Orthophosphate (PO4-P), or soluble reactive phosphorus (SRP), is the predominant form of dissolved inorganic plant-available phosphorus that is taken up by biota. It is commonly found in rocks throughout SW Montana, such as the Permian-age Phosphoria formation. Anthropogenic sources of phosphorus may also include phosphorus fertilizers, industrial wastes, sewage and detergents.
Chloride (Cl–) is a naturally occurring ionic form of inorganic chlorine. It commonly occurs in low concentrations in pristine watersheds (< 20 parts per million, or mg/L). It is not a plant nutrient but can be used as a wastewater indicator and when found in high concentrations may suggest human impact on water resources. In our work, we use it as a “tracer”, a chemical marker used to identify contamination. Potential sources of chloride in watersheds may include dissolution of evaporite and marine shale deposits, thermal and mineral springs in volcanic areas, water softeners, domestic sewage, and road salt.
Results: (What we have found to date)
Results of our work suggest that the groundwater beneath the Big Sky Meadow Village is moderately affected by elevated levels of nitrate and chloride in some parts of the aquifer. The majority SRP results were low concentrations or non-detectable.
Frequency histograms (Fig. 2) show the distribution of results of analytes measured. The nitrate frequency histogram (blue bar graph, left) shows 52% of observations falling within the lower range (0.03 – 2.09 mg/L) and about 37% within the middle range (4.10 – 7.59 mg/L), however, approximately half of all observations are above 2.0 mg/L. Chloride results (green bar graph, center) suggest relatively low concentrations, however nearly two-thirds of samples are 20 mg/L or greater. Soluble reactive phosphorus concentrations within the study area are either undetectable (26%) or represent low concentrations (<0.0116 mg/L). Few samples resulted in appreciable quantities of SRP.

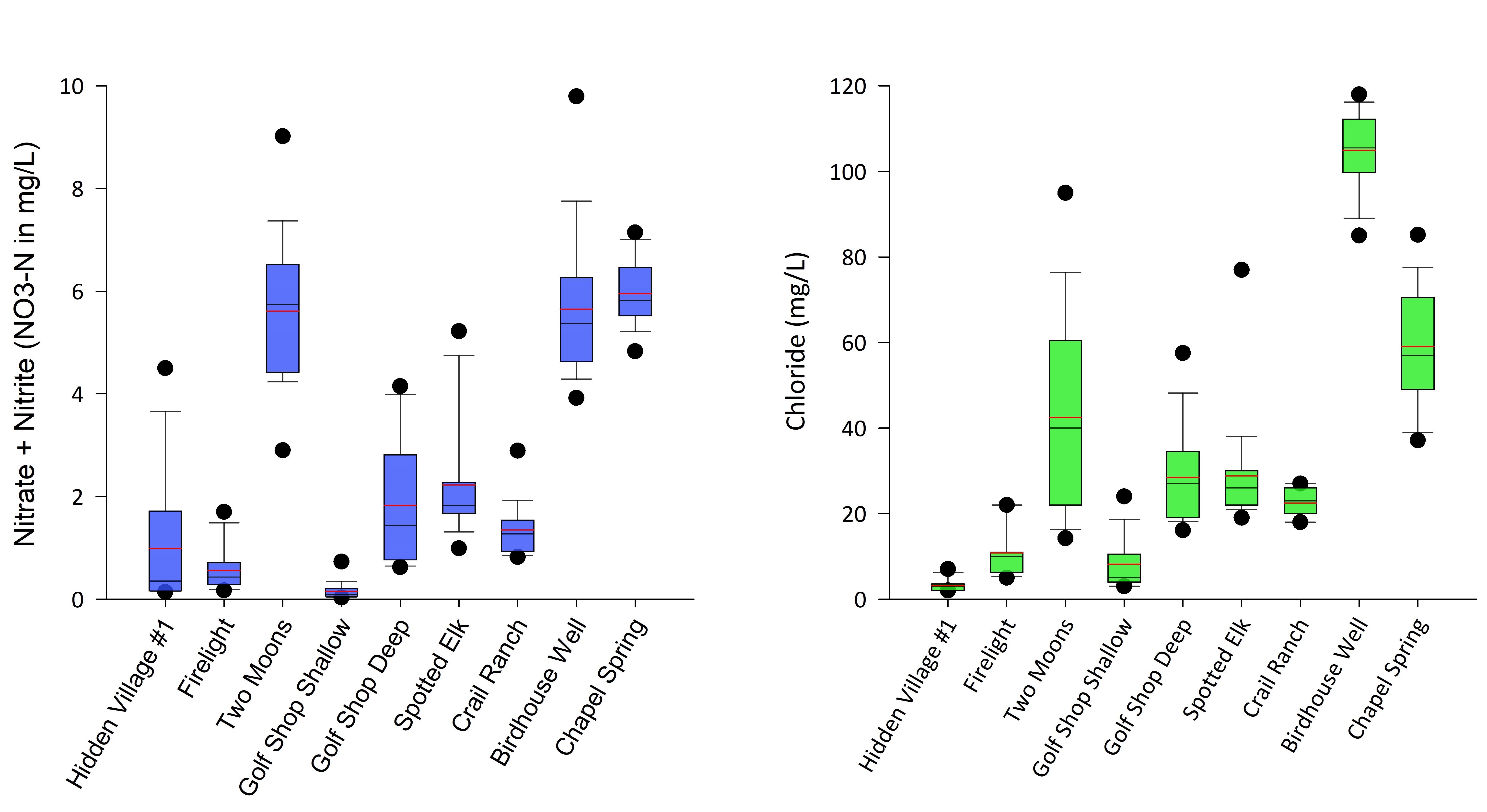
Figure 3 illustrates that within our study area there are three sites (Two Moons, Birdhouse Well, and Chapel Spring) displaying elevated concentrations of nitrate (blue box plot, left) and chloride (green box plot, right). These three high-level sites average ~ 6 mg/L nitrate and greater than 40 mg/L chloride. One sample from Birdhouse Well resulted in a nitrate value greater than 9 mg/L, while a sample taken from the Two Moons well was in excess of 8 mg/L (blue box plot, left). The Two Moons well displayed the greatest range of chloride (14 – 97 mg/L) while Birdhouse well has the highest maximum observed chloride concentration (118 mg/L).

The highest mean dissolved orthophosphate concentrations correspond to three near stream, shallow wells (Firelight, Golf Shop Shallow, and Crail Ranch, Figure 4). The maximum orthophosphate concentration (0.032 mg/L) was from the Golf Shop Shallow well in November of 2019. The maximum values at Crail Ranch (0.02 mg/L) and Firelight (0.015 mg/L) were detected on June 11th of 2019. Of the sites not located near stream environments, Birdhouse Well has the highest mean orthophosphate (0.009 ± 0.004 mg/L).

Discussion and Conclusion: (Putting our results into context)
Our results suggest groundwater beneath the Big Sky Meadow Village is moderately affected by nitrate, a plant-available form of nitrogen, and chloride in some parts of the aquifer; both of which are common constituents of wastewater. Fifty percent of nitrate observations are above 2.0 mg/L, while 66% of chloride observation is above 20 mg/L (Fig. 2). These data are consistent with other investigations on human impacts to groundwater resources in Montana (Drake and Bauder, 2005; DeBorde et al., 1998). However, orthophosphate appears to be consistent with ambient levels observed in relatively unimpacted aquifer systems (Nolan and Stoner, 2000).
To assess the impact of human development on the Meadow Village Aquifer, we compared our results to reference wells outside of the study area located along the relatively undeveloped Gallatin River corridor. In these reference wells, mean nitrate-N concentration was 0.37 mg/L, while chloride concentrations had an average of 8.83 mg/L (based on 44 observations, data not shown). Similarly, investigations in the 1970s and 1980s of the Helena Valley alluvial aquifer demonstrate background nitrate concentrations as low as 0.1 mg/L (Wilke and Coffin, 1973, as cited in Drake and Bauder, 2005).
High values of nitrate and chloride in the Two Moons well (Fig. 3), downgradient from the unsewered subdivision and among high-density land use support the notion of moderate groundwater degradation from human activities. Septic systems are a known nexus of non-point source pollution to groundwater and are relatively poor at treating wastewater with respect to nitrogen (septic systems function around 60 % efficiency for nitrogen removal, at best). We hope that through the passing and promulgation of Senate Bill 383 (68th session, MT Legislature), that the role of nutrient loading from septic systems to the Gallatin River ecosystem will spur further investigation. We recognize the contributions of these systems to eutrophication and emphasize the importance of adequate function of septic systems through regular maintenance and best management practices. We support increased oversight by the Montana Department of Environmental Quality on these known sources of non-point source pollution.
For the past few years, Cladophora algal blooms have occurred along the Upper W. Gallatin River near Big Sky. Recently, the Gallatin River Task Force deployed nutrient-diffusing substrata, discs amended with plant-available nutrients like nitrate and phosphorus and placed in water bodies, to determine nutrient limitation. Simply put, nutrient limitation occurs when the growth of a species is limited by the supply of that nutrient relative to demand. Results of these experiments suggest that the growth of algal biomass in the Upper W. Gallatin River is limited by the supply of nitrogen. Cladophora algae responded to additions of this nutrient more readily than phosphorus. That it is say, algae grew more readily on discs with nitrogen amendments than phosphorus, underscoring the notion that algal growth in parts of the Upper Gallatin River ecosystem is nitrogen limited. Thus, curbing the delivery of the limiting nutrient, (in our case, nitrogen) may help to suppress future nuisance algal blooms.
If action is not taken to address non-point source pollution in the Gallatin our relatively pristine nitrogen-limited river ecosystem may soon begin to look like this photo investigators at the GLWQD snapped in 2016 of the Clark Fork River (Figure 5), a nitrogen-limited Montana aquatic ecosystem: carpeted with nuisance algae, depleted of oxygen and devoid of fish in large portions of the stream. We recommend regularly scheduled maintenance and septic tank pumping to help reduce non-point source pollution. Do your part to prevent our rivers from turning green.

Figure 5. The effects of nitrogen pollution on a nitrogen-limited Montana river ecosystem. Photograph shows the Clark Fork River near Bonita Station, Montana. Taken 06/30/2016.
References
American Public Health Association. Standard Methods for the Examination of Water and Wastewater. 2022.
Berner, E.K., and R.A. Berner, Global Environment. Prentice-Hall. 1996.
Drake, V.M., and J.W. Bauder. 2005. Ground Water Nitrate-Nitrogen Trends in Relation to Urban Development, Helena, Montana, 1971-2003. Ground Water Monitoring & Remediation 25, no.2: 118 – 130.
Nolan, Bernard and Stoner, Jeffrey, “Nutrients in Groundwaters of the Conterminous United States, 1992-1995” (2000). USGS Staff — Published Research. 59. https://digitalcommons.unl.edu/usgsstaffpub/59
Waren, K., J. Rose, and R. Breitmeyer. 2021. Groundwater Model of the Meadow Village Aquifer at Big Sky, Montana. Montana Bureau of Mines and Geology. Open-File Report 742, 38 p.
Whitton, B. A. 1970. Biology of Cladophora in freshwaters. Water Research 4:457–476.
Withers, Paul JA, et al. “Do septic tank systems pose a hidden threat to water quality?” Frontiers in Ecology and the Environment 12.2 (2014): 123-130.

You must be logged in to post a comment.